I’m writing this as one person, not as an institution. I have no research staff, no policy mandate, and no vested interest beyond the simple conviction that our current economic operating system is broken. For years I’ve watched governments and central banks respond to crisis after crisis with the same blunt instruments — more debt, more liquidity, more moral hazard. We’ve built an economy that grows richer on paper while hollowing out the foundations of real prosperity.
I’m not opposed to intervention in principle. I’m opposed to arbitrary intervention — to human discretion that drifts with politics and fear. The most damaging failures of modern economics have not been technical but behavioural: incentives to postpone pain, to disguise inflation, to inflate assets instead of wages.
This paper proposes an alternative — a framework I call Algorithmic Monetary Policy (AMP). It’s not a cryptocurrency, nor a utopian decentralised fantasy. It’s an applied system for embedding discipline, transparency, and adaptability directly into the machinery of money creation. In essence, AMP seeks to automate honesty in monetary governance.
It’s a working prototype, not a finished product. But even a prototype can illuminate what a credible future might look like — one where monetary growth reflects the pulse of the real economy, not the moods of committees or the temptations of electoral cycles.
Part I – The Problem and the Philosophy
1. The Age of Soft Money
Since the end of the Bretton Woods gold exchange system in 1971, global monetary policy has operated on faith. We moved from a world of convertibility to one of credibility — from discipline anchored in a physical asset to discipline anchored in human promises.
For a while, it worked. The early decades of fiat management saw impressive stability. But as political time horizons shortened and debt became the lubricant of growth, discretion turned from flexibility into addiction. Each crisis invited a new round of intervention — each intervention widened inequality, weakened real signals, and inflated asset markets far beyond fundamentals.
The result is a paradoxical economy: technologically advanced but institutionally decayed, financially liquid but socially brittle. Central banks have become the high priests of a secular religion whose rituals few citizens understand but whose consequences everyone feels.
When prices rise faster than wages, governments call it “transitory”. When asset markets collapse, they call it “unexpected”. Yet the pattern repeats with metronomic precision: too much stimulus in good times, too little restraint in bad. Monetary discretion has become the chief vector of instability it was meant to prevent.
2. The Moral Case for Automation
Money is not just a medium of exchange — it is a measure of social trust. When the authority managing that trust is repeatedly captured by short-term incentives, the institution ceases to serve the public and begins serving its own continuity.
The case for automation, then, is moral before it is mathematical. It’s about removing temptation from the hands of policymakers who cannot help but be human.
Automation in this context doesn’t mean surrendering judgement to machines. It means encoding principles — transparency, proportionality, and feedback — in a way that makes their violation visible and costly. Algorithmic monetary policy is not a robot governor; it’s a constitutional framework that enforces integrity by design.
3. Lessons from History
Our economic history oscillates between two temptations: rigid rule and reckless discretion.
The gold standard offered credibility but lacked adaptability; it enforced discipline even when flexibility was needed.
Post-war Keynesianism restored flexibility but discarded restraint; the state became both umpire and player.
Monetarism introduced formal targets but still depended on human enforcement, and ultimately collapsed under the weight of political impatience.
The inflation-targeting regimes of the 1990s restored some rule-based structure but measured the wrong thing — prices divorced from the asset and wage cycles that now dominate modern economies.
Each experiment failed for the same reason: human bias and informational lag. AMP is designed to address both by embedding continuous, transparent feedback loops that evolve with data rather than decree.
4. Why Monetary Policy Must Evolve
The 21st-century economy is no longer a closed, domestically balanced system. It is an adaptive network — globalised, data-rich, but policy-poor. The tools we inherited from the 20th century were designed for slower economies, smaller capital flows, and weaker information systems.
AMP recognises that technology now makes real-time feedback possible. If we can automate logistics, energy grids, and manufacturing supply chains, there is no structural reason why monetary governance should remain analogue, opaque, and politically captive.
Imagine a system where the money supply expands only when real output, wages, and trade health warrant it — and contracts automatically when inflation or asset bubbles distort those gains. That is the promise of Algorithmic Monetary Policy: a self-correcting monetary framework, auditable by anyone, manipulable by no one.
5. Philosophical Premise: Adaptive Discipline
At its core, AMP rests on three propositions:
Prosperity must be real, not nominal. Growth driven by productivity and wages sustains itself; growth driven by leverage and speculation consumes itself.
Rules must be adaptive, not rigid. Fixed ratios (like the Friedman k-percent rule) ignore complexity; pure discretion invites abuse. Adaptive rules — algorithms with feedback — combine discipline and flexibility.
Transparency is the new legitimacy. In an era of eroded institutional trust, legitimacy must be earned through verifiable processes, not authority alone. AMP’s design assumes open data, open code, and automatic auditing.
This is not just an economic reform; it is a redefinition of what “governance” means in a digital age — moving from rule by opinion to rule by protocol.
6. The Architecture in Outline
Algorithmic Monetary Policy doesn’t abolish human oversight, but it confines it within a transparent architecture. In simplest terms:
Processor: a formula that determines the recommended expansion or contraction of the monetary base (ΔM_rec).
Transmission filter: a coefficient (T) that accounts for how effectively money circulates through the real economy.
Outputs: an adjusted base money target and implied policy rate corridor.
Governance: open-source publication of data and outputs, with humans permitted only to pause or recalibrate, not to manipulate.
AMP is less about technocracy than about constitutionalising discipline. It ensures that when errors occur — and they will — they are visible, limited, and self-correcting.
Part II – Framework & Empirical Exploration
1. Building an Algorithmic Constitution for Money
A credible monetary system must deliver both discipline and adaptability. Algorithmic Monetary Policy (AMP) expresses that duality through two linked components:
ΔMraw — the algorithmic signal, derived directly from economic indicators;
ΔMactual — the executed change, constrained by transparent mechanical guard-rails to prevent overshoot or panic.
The principle: the data decide, but discipline governs the throttle.
The product T = T_market × T_distribution tells us how efficiently monetary expansion propagates into productive activity.
3. From Signal to Execution – The Governor Mechanism
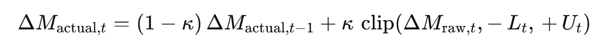
The formula above produces a raw recommendation (ΔM_raw) — how much the monetary base should rise or fall. But no responsible authority would execute that figure instantly: data are noisy and abrupt changes risk over-reaction.
AMP therefore uses a governor — a mathematical shock absorber that smooths and limits each movement. Think of it as cruise control for the money supply: it accelerates gently uphill and eases off downhill.
3.1. Core Rate-Limiter and Smoothing
κ (0 < κ ≤ 1) controls how quickly AMP reacts. Small κ = gradual adjustment; large κ = faster response.
clip( ) limits the signal between Ut and Lt, usually ± 2 % per quarter × T.
In plain language:
The new money-growth rate equals most of last quarter’s rate plus a portion of the new recommendation, but never more than the allowed maximum change.
3.2. Deadband – Ignoring the Noise
Small fluctuations below δ (≈ 0.25 %) are treated as background noise and ignored.
3.3. Hysteresis – Avoiding Whiplash
If the signal tries to reverse direction but only slightly (h ≈ 0.6 %), AMP holds steady instead of jerking back and forth.
3.4. Cumulative Cap – Medium-Run Discipline
Across roughly Q = 4–6 quarters, total expansion or contraction cannot exceed ± 12 %. That prevents long-term drift from compounding into excess.
3.5. Transparency Rule
All parameters {κ, Ut, Lt, δ, h, Cmax, Cmin, Q} are public and version-controlled. Any change must be logged and visible.
In short: AMP’s governor converts a volatile theoretical signal into a safe, predictable course of action — the economic equivalent of anti-lock brakes.
4. Indicator Logic – Five Interacting Forces
Growth anchor (a-term) – rewards real output and wage gains.
Asset penalty (b-term) – leans against speculative divergence.
Transmission filter (T) – scales the whole response according to both market conductivity and liquidity-delivery method.
5. Worked Example – A Quarter in Practice
Input values
ΔGDP_real = +0.6 % (modest growth)
ΔGDP_cap,real = +0.4 % (increasing population)
ΔRW_real = +0.5 % (healthy wages)
ΔAP_real = +1.8 % (asset rebound)
INgap,trend = +0.3 pp (slightly above target)
TB = –2 % (mild deficit)
T_market = 0.8 (good competition)
T_distribution = 0.9 (transmissible policy mix)
Parameters
a = 0.6 b = 0.3 c = 0.03 d = 0.07 θ = 1
Computation
With envelope Ut = +2 %, Lt = –2 %, κ = 0.5:
If conditions persist, another +1 % executes next quarter; if not, AMP automatically tapers.
6. Empirical Exploration – UK 2007–2012
Parameter set
a = 0.6
b = 0.3
c = 0.05
d = 0.05
θ = 1
κ = 0.5
U/L = ± 2 %
Σ cap = ± 12 %
Tmarket ≈ 0.7–0.8
Tdistribution ≈ 0.8
Highlights
2008–09 (Crisis): ΔMraw ≈ +9 %, ΔMactual ≈ +8 % → strong but bounded easing. This is in contrast to the ≈ 20% expansion by the BoE.
2010 (Rebound): ΔMraw ≈ +1 %, ΔMactual ≈ +0.5 % → policy tapers much earlier than BoE QE.
2011–12 (Stagnation + asset boom): ΔMraw ≈ –1 to 0 %, ΔMactual ≈ 0 % → AMP holds steady while traditional policy stays loose.
7. Transmission Sensitivity – Efficiency and Injection Pathways
Market transmissibility
Competitive credit markets → high (0.8–0.9)
Oligopolistic banking → medium (0.6–0.7)
Credit hoarding / risk aversion → low (0.4–0.5)
Distributional transmissibility
Commercial lending (via banks) → 0.5 – 0.7
Government contracts / infrastructure → 0.7 – 0.85
Targeted transfers / wage support → 0.8 – 1.0
Asset-purchase QE → 0.3 – 0.5
High T means money reaches productive use quickly; low T means it pools in financial assets. AMP automatically adjusts — if transmission weakens, expansion slows.
8. Comparison with Legacy Rules
Taylor Rule
Targets: inflation and output gap
Adaptability: fixed coefficients
Transparency: committee discretion
Reaction speed: lagged
Ethic: judgement and discretion
AMP
Targets: real growth, wages, assets, trade
Adaptability: dynamic via T
Transparency: open data and public code
Reaction speed: continuous feedback
Ethic: algorithmic discipline
9. Why the Governor Matters
The governor is AMP’s safety valve — bounded adjustments, visible logic, and automatic stabilisation. By linking ΔMactual to T, AMP becomes context-aware: money injected through different pipes has different multipliers.
10. Interpretation
Integrating ΔMraw, ΔMactual, and T creates a living feedback architecture for prosperity. AMP recognises that the plumbing of the economy — bank structure, competition, and public procurement — is as important as the volume of liquidity. ΔMraw defines the signal; ΔMactual delivers it safely; T ensures it flows through the right channels.
Part III – Institutional Blueprint & Call for Collaboration
1. From Central Banks to Algorithmic Stewards
Algorithmic Monetary Policy doesn’t abolish institutions; it redefines their purpose. Under AMP, a central bank becomes a verifier rather than an oracle of truth. Its mandate is to keep the data clean, the code open, and the process auditable.
Imagine three concentric layers:
The Data Layer – “the nervous system” Public statistical streams – GDP, wages, trade, inflation, asset indices – published as hash-verified feeds. Anyone can audit their accuracy; manipulation becomes visible in real time.
The Algorithmic Layer – “the spine” The AMP formula runs continuously, producing the recommended ΔMactual and the implied policy-rate corridor. The code is open source, versioned, and signed by independent cryptographic keys.
The Oversight Layer – “the conscience” A small supervisory board, drawn from public institutions and civil society, empowered only to pause or recalibrate in an emergency. Any deviation must be symmetrical and temporary – for example, if a pandemic or cyber-attack corrupts input data, the board can freeze the algorithm but must publish reasons and a timetable for restoration.
This tri-layer design preserves human judgement for true uncertainty while removing it from everyday temptation.
2. Governance and Legitimacy
AMP’s legitimacy would rest on transparency, auditability, and accountability – the modern equivalent of a gold standard, but made of data rather than metal.
Transparency: Every variable, coefficient, and data source published publicly.
Auditability: Anyone can reproduce the ΔM_rec output from the raw feeds.
Accountability: Any manual intervention is logged and justified in a public record, with automatic reversion to the rule once the anomaly passes.
Such openness converts monetary policy from priesthood to process. Citizens regain what fiat lost – the right to understand the money they use.
3. Integration with the Global System
3.1 Bretton Woods III
The IMF and other Bretton Woods institutions are overdue for re-architecture. Their frameworks were built for a dollar-centred, human-negotiated order. A diversified reserve regime anchored in AMP-style rules would achieve balance through reciprocal transparency rather than political bargaining.
Each participant economy could publish its AMP-derived base-growth path; capital flows would adjust automatically toward equilibrium. Persistent surpluses or deficits would trigger visible algorithmic pressure instead of opaque diplomacy.
3.2 International Co-ordination
Data standardisation: An ISO-style schema for macro indicators, with shared definitions of ΔGDP, ΔRW, and ΔAP.
Cross-auditing: Nations verify each other’s oracles through distributed checksum networks.
Asset-linked reserves: Rather than a single global reserve currency, countries could hold baskets of AMP-anchored units whose supply paths are provably rules-based.
This would be a global system of mutual discipline, not central domination.
4. Political and Social Implications
AMP doesn’t remove politics; it civilises it. Fiscal choices remain democratic – societies can still decide how to tax and spend – but they can no longer disguise fiscal irresponsibility behind covert monetary manipulation.
A few likely outcomes:
Lower inequality: Asset inflation loses its privileged channel; wage-linked expansion gains it.
Greater predictability: Businesses plan investment on transparent rules, not central-bank guesswork.
Cultural shift: Monetary honesty becomes a civic expectation rather than a technocratic luxury.
5. Future Research and Development
The next steps for AMP are practical as well as philosophical:
Parameter Calibration – econometric fitting of coefficients a – d using multi-decade datasets.
Real-Time Data Pipelines – automated ingestion of high-frequency indicators from tax receipts, wage systems, and trade records.
Machine-Learning Enhancements – adaptive estimation of T to model structural frictions and credit elasticity.
Stress Testing – simulate AMP under 2020-style pandemic shocks or energy-price surges.
Interface Design – public dashboards showing ΔM, input data, and explanatory context.
All of this can begin with open collaboration; no government need authorise curiosity.
6. Limitations and Risks
Every design carries failure modes:
Data capture: If inputs are politically distorted, the algorithm will mirror corruption faithfully.
Model drift: Over-fitting coefficients could recreate discretion by stealth.
Emergency inflexibility: In crises where indicators break down, temporary human override must exist – but be transparent and time-bounded.
International friction: Countries adopting AMP early could face speculative pressure from those remaining discretionary; transitional coordination will matter.
Acknowledging these risks is part of credibility. AMP is not a utopia; it is an improvement path – a framework for learning rather than a claim to omniscience.
7. Implementation Scenarios
Domestic Pilot: A national statistics office and central bank run AMP in parallel with current policy for a fixed period, publishing differences.
Municipal or Regional Trials: Sub-sovereign authorities experiment with algorithmic fiscal stabilisers tied to local GDP and wages.
Private-Sector Simulation: Research groups and fintech labs test the algorithm on open data, feeding results back to the community.
Each layer of experimentation builds evidence and trust. Success doesn’t require global adoption overnight – it begins wherever transparency meets courage.
8. The Human Role in an Automated Economy
Automation should not exile humanity from governance; it should free humans to govern by principle rather than impulse. In AMP, people design the code and choose the metrics; the algorithm merely ensures consistency between words and deeds. The goal is not technocracy but earned trust: citizens who can see, verify, and debate the rules that shape their prosperity.
9. Call for Collaboration
I’ve taken this concept as far as one individual, armed with spreadsheets and conviction, reasonably can. What it needs next is collective refinement – economists, engineers, coders, statisticians, and citizens willing to stress-test, calibrate, and critique.
If you work in policy, academia, or data science and see merit here, help build the next layer:
Run your own simulations with different data sets.
Propose improved weightings or alternative penalty structures.
Develop visual dashboards for ΔM and T.
Challenge the assumptions publicly and transparently.
AMP is not proprietary. It belongs to anyone who believes that prosperity should rest on truth, not illusion.
10. Conclusion – Adaptive Prosperity
Human discretion gave us progress; it also gave us hubris. We stand at a moment where algorithmic integrity can restore what political will has lost – discipline, predictability, and fairness.
AMP is not a manifesto against humanity; it is a design for its maturity:
automation as accountability,
transparency as legitimacy,
balance as prosperity.
If this framework persuades even one policymaker, one data scientist, or one citizen that monetary honesty is possible, then it will have served its purpose. To inspire others to build the next iteration of prosperity.
Preface: From Disillusionment to Design
I’m writing this as one person, not as an institution. I have no research staff, no policy mandate, and no vested interest beyond the simple conviction that our current economic operating system is broken. For years I’ve watched governments and central banks respond to crisis after crisis with the same blunt instruments — more debt, more liquidity, more moral hazard. We’ve built an economy that grows richer on paper while hollowing out the foundations of real prosperity.
I’m not opposed to intervention in principle. I’m opposed to arbitrary intervention — to human discretion that drifts with politics and fear. The most damaging failures of modern economics have not been technical but behavioural: incentives to postpone pain, to disguise inflation, to inflate assets instead of wages.
This paper proposes an alternative — a framework I call Algorithmic Monetary Policy (AMP). It’s not a cryptocurrency, nor a utopian decentralised fantasy. It’s an applied system for embedding discipline, transparency, and adaptability directly into the machinery of money creation. In essence, AMP seeks to automate honesty in monetary governance.
It’s a working prototype, not a finished product. But even a prototype can illuminate what a credible future might look like — one where monetary growth reflects the pulse of the real economy, not the moods of committees or the temptations of electoral cycles.
Part I – The Problem and the Philosophy
1. The Age of Soft Money
Since the end of the Bretton Woods gold exchange system in 1971, global monetary policy has operated on faith. We moved from a world of convertibility to one of credibility — from discipline anchored in a physical asset to discipline anchored in human promises.
For a while, it worked. The early decades of fiat management saw impressive stability. But as political time horizons shortened and debt became the lubricant of growth, discretion turned from flexibility into addiction. Each crisis invited a new round of intervention — each intervention widened inequality, weakened real signals, and inflated asset markets far beyond fundamentals.
The result is a paradoxical economy: technologically advanced but institutionally decayed, financially liquid but socially brittle. Central banks have become the high priests of a secular religion whose rituals few citizens understand but whose consequences everyone feels.
When prices rise faster than wages, governments call it “transitory”. When asset markets collapse, they call it “unexpected”. Yet the pattern repeats with metronomic precision: too much stimulus in good times, too little restraint in bad. Monetary discretion has become the chief vector of instability it was meant to prevent.
2. The Moral Case for Automation
Money is not just a medium of exchange — it is a measure of social trust. When the authority managing that trust is repeatedly captured by short-term incentives, the institution ceases to serve the public and begins serving its own continuity.
The case for automation, then, is moral before it is mathematical. It’s about removing temptation from the hands of policymakers who cannot help but be human.
Automation in this context doesn’t mean surrendering judgement to machines. It means encoding principles — transparency, proportionality, and feedback — in a way that makes their violation visible and costly. Algorithmic monetary policy is not a robot governor; it’s a constitutional framework that enforces integrity by design.
3. Lessons from History
Our economic history oscillates between two temptations: rigid rule and reckless discretion.
Each experiment failed for the same reason: human bias and informational lag. AMP is designed to address both by embedding continuous, transparent feedback loops that evolve with data rather than decree.
4. Why Monetary Policy Must Evolve
The 21st-century economy is no longer a closed, domestically balanced system. It is an adaptive network — globalised, data-rich, but policy-poor. The tools we inherited from the 20th century were designed for slower economies, smaller capital flows, and weaker information systems.
AMP recognises that technology now makes real-time feedback possible. If we can automate logistics, energy grids, and manufacturing supply chains, there is no structural reason why monetary governance should remain analogue, opaque, and politically captive.
Imagine a system where the money supply expands only when real output, wages, and trade health warrant it — and contracts automatically when inflation or asset bubbles distort those gains. That is the promise of Algorithmic Monetary Policy: a self-correcting monetary framework, auditable by anyone, manipulable by no one.
5. Philosophical Premise: Adaptive Discipline
At its core, AMP rests on three propositions:
This is not just an economic reform; it is a redefinition of what “governance” means in a digital age — moving from rule by opinion to rule by protocol.
6. The Architecture in Outline
Algorithmic Monetary Policy doesn’t abolish human oversight, but it confines it within a transparent architecture. In simplest terms:
AMP is less about technocracy than about constitutionalising discipline. It ensures that when errors occur — and they will — they are visible, limited, and self-correcting.
Part II – Framework & Empirical Exploration
1. Building an Algorithmic Constitution for Money
A credible monetary system must deliver both discipline and adaptability. Algorithmic Monetary Policy (AMP) expresses that duality through two linked components:
The principle: the data decide, but discipline governs the throttle.
2. The Canonical Formula
Key terms
The product T = T_market × T_distribution tells us how efficiently monetary expansion propagates into productive activity.
3. From Signal to Execution – The Governor Mechanism
The formula above produces a raw recommendation (ΔM_raw) — how much the monetary base should rise or fall. But no responsible authority would execute that figure instantly: data are noisy and abrupt changes risk over-reaction.
AMP therefore uses a governor — a mathematical shock absorber that smooths and limits each movement. Think of it as cruise control for the money supply: it accelerates gently uphill and eases off downhill.
3.1. Core Rate-Limiter and Smoothing
Small κ = gradual adjustment; large κ = faster response.
In plain language:
3.2. Deadband – Ignoring the Noise
Small fluctuations below δ (≈ 0.25 %) are treated as background noise and ignored.
3.3. Hysteresis – Avoiding Whiplash
If the signal tries to reverse direction but only slightly (h ≈ 0.6 %), AMP holds steady instead of jerking back and forth.
3.4. Cumulative Cap – Medium-Run Discipline
Across roughly Q = 4–6 quarters, total expansion or contraction cannot exceed ± 12 %.
That prevents long-term drift from compounding into excess.
3.5. Transparency Rule
All parameters {κ, Ut, Lt, δ, h, Cmax, Cmin, Q} are public and version-controlled.
Any change must be logged and visible.
4. Indicator Logic – Five Interacting Forces
5. Worked Example – A Quarter in Practice
Input values
Parameters
Computation
With envelope Ut = +2 %, Lt = –2 %, κ = 0.5:
If conditions persist, another +1 % executes next quarter; if not, AMP automatically tapers.
6. Empirical Exploration – UK 2007–2012
Parameter set
Highlights
7. Transmission Sensitivity – Efficiency and Injection Pathways
Market transmissibility
Distributional transmissibility
High T means money reaches productive use quickly; low T means it pools in financial assets. AMP automatically adjusts — if transmission weakens, expansion slows.
8. Comparison with Legacy Rules
Taylor Rule
AMP
9. Why the Governor Matters
The governor is AMP’s safety valve — bounded adjustments, visible logic, and automatic stabilisation. By linking ΔMactual to T, AMP becomes context-aware: money injected through different pipes has different multipliers.
10. Interpretation
Integrating ΔMraw, ΔMactual, and T creates a living feedback architecture for prosperity. AMP recognises that the plumbing of the economy — bank structure, competition, and public procurement — is as important as the volume of liquidity.
ΔMraw defines the signal; ΔMactual delivers it safely; T ensures it flows through the right channels.
Part III – Institutional Blueprint & Call for Collaboration
1. From Central Banks to Algorithmic Stewards
Algorithmic Monetary Policy doesn’t abolish institutions; it redefines their purpose.
Under AMP, a central bank becomes a verifier rather than an oracle of truth.
Its mandate is to keep the data clean, the code open, and the process auditable.
Imagine three concentric layers:
Public statistical streams – GDP, wages, trade, inflation, asset indices – published as hash-verified feeds.
Anyone can audit their accuracy; manipulation becomes visible in real time.
The AMP formula runs continuously, producing the recommended ΔMactual and the implied policy-rate corridor.
The code is open source, versioned, and signed by independent cryptographic keys.
A small supervisory board, drawn from public institutions and civil society, empowered only to pause or recalibrate in an emergency.
Any deviation must be symmetrical and temporary – for example, if a pandemic or cyber-attack corrupts input data, the board can freeze the algorithm but must publish reasons and a timetable for restoration.
This tri-layer design preserves human judgement for true uncertainty while removing it from everyday temptation.
2. Governance and Legitimacy
AMP’s legitimacy would rest on transparency, auditability, and accountability – the modern equivalent of a gold standard, but made of data rather than metal.
Such openness converts monetary policy from priesthood to process. Citizens regain what fiat lost – the right to understand the money they use.
3. Integration with the Global System
3.1 Bretton Woods III
The IMF and other Bretton Woods institutions are overdue for re-architecture. Their frameworks were built for a dollar-centred, human-negotiated order. A diversified reserve regime anchored in AMP-style rules would achieve balance through reciprocal transparency rather than political bargaining.
Each participant economy could publish its AMP-derived base-growth path; capital flows would adjust automatically toward equilibrium. Persistent surpluses or deficits would trigger visible algorithmic pressure instead of opaque diplomacy.
3.2 International Co-ordination
This would be a global system of mutual discipline, not central domination.
4. Political and Social Implications
AMP doesn’t remove politics; it civilises it.
Fiscal choices remain democratic – societies can still decide how to tax and spend – but they can no longer disguise fiscal irresponsibility behind covert monetary manipulation.
A few likely outcomes:
5. Future Research and Development
The next steps for AMP are practical as well as philosophical:
All of this can begin with open collaboration; no government need authorise curiosity.
6. Limitations and Risks
Every design carries failure modes:
Acknowledging these risks is part of credibility. AMP is not a utopia; it is an improvement path – a framework for learning rather than a claim to omniscience.
7. Implementation Scenarios
Each layer of experimentation builds evidence and trust. Success doesn’t require global adoption overnight – it begins wherever transparency meets courage.
8. The Human Role in an Automated Economy
Automation should not exile humanity from governance; it should free humans to govern by principle rather than impulse.
In AMP, people design the code and choose the metrics; the algorithm merely ensures consistency between words and deeds.
The goal is not technocracy but earned trust: citizens who can see, verify, and debate the rules that shape their prosperity.
9. Call for Collaboration
I’ve taken this concept as far as one individual, armed with spreadsheets and conviction, reasonably can. What it needs next is collective refinement – economists, engineers, coders, statisticians, and citizens willing to stress-test, calibrate, and critique.
If you work in policy, academia, or data science and see merit here, help build the next layer:
AMP is not proprietary. It belongs to anyone who believes that prosperity should rest on truth, not illusion.
10. Conclusion – Adaptive Prosperity
Human discretion gave us progress; it also gave us hubris.
We stand at a moment where algorithmic integrity can restore what political will has lost – discipline, predictability, and fairness.
AMP is not a manifesto against humanity; it is a design for its maturity:
If this framework persuades even one policymaker, one data scientist, or one citizen that monetary honesty is possible, then it will have served its purpose. To inspire others to build the next iteration of prosperity.