A partially ordered set (also called a poset) is a pair of a set and a binary relation on such that for all , the following properties are satisfied:
is referred to as the poset's underlying set and is referred to as its order relation. Posets are the central object of study in order theory.
A greater than relation can be derived as the transpose of a poset's less than relation: means that .
For poset elements and , if neither nor then we say that and are incomparable, and write .
From any poset , we can derive an underlying strict order . For , means that the following conditions are satisfied:
From any poset , we can derive an underlying cover relation , defined such that for , whenever the following two conditions are satisfied:
Simply put, means that is the smallest element of which is strictly greater than . is pronounced " is covered by ", or " covers ", and is said to be a cover of .
Let be the poset such that and . The order relation , being binary, can be depicted as a directed graph, though the resulting image leaves something to be desired.
Including an edge for every pair in results in a rather noisy looking graph. In particular, as long as we are under assumption that the graph we are viewing depicts a poset, placing a reflexive edge on each node is tedious and redundant. Our first step toward cleaning up this graph is to remove all reflexive edges, instead leaving reflexivity as an implicit assumption. Likewise, we can leave those edges which are implied by transitivity — is the only such edge in this poset — implicit. As a final step, we remove the arrow heads from our edges, leaving their directions implied by the y-coordinates of the nodes they connect: an edge between two nodes means that the poset element corresponding to the lower node is less than the poset element corresponding to the higher node. The simplified depiction of then follows.
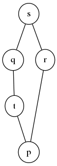
Such a depiction is called a Hasse diagram; drawing a Hasse diagram is the standard method for visually depicting a poset. Now that we understand what Hasse diagrams are, we can provide a concise definition: a Hasse diagram is a graph-based visual depiction of a poset , where elements of are represented as nodes, and for all such that , an upward edge is drawn from to .
requires that must appear lower in a Hasse diagram than . However, the converse is not true. In the following Hasse diagram, even though is positioned lower than .
Every poset has a corresponding dual poset , where (pronounced "P op") is a set whose elements are in correspondence with those of , and is the transpose of discussed previously. The Hasse diagram of is obtained by flipping the Hasse diagram of upside down. Whenever is a propsition about posets, we obtain 's dual proposition by replacing all occurences of with and all occurrences of with .
The existence of dual posets and dual propositions gives rise to the duality principle: if a proposition , quantified over all posets, is true then its dual is also true. The duality principle works because instantiating with a poset is equivalent to instantiating with . This is due to the fact that in iff in . Theorems involving posets often come with a free dual theorem thanks to the duality principle.
For some additional examples of posets, see Poset: Examples. To test your knowledge of posets, try these exercises. The most useful operators on elements of a poset are called the join and meet. We can relate the elements of one poset to another through the use of monotone functions.