The best data comes from a Pew survey of “17 advanced economies” in 2021
Not sure this is evidence of increased partisanship or just the fact that other nations are more liberal in general. The 72/98 gap in Canada means conservatives are ~15x less likely to be "willing to adjust".
I do think the environmentalist movement is too entangled with other liberal causes (consider, for example the Green New Deal, which is largely a socialist wishlist of demands unrelated to the environment).
As a useful counterexample, consider the YIMBY movement which has actually done a decent job of avoiding entanglement with partizan issues.
I think you need to get some data and factor out population density before you can causally relate environmentalism to politics. People who live in rural environment don't see as much need to worry about the environment as people who live in cities. It just so happens that today, rural people vote Republican and city people vote Democrat. That didn't used to be the case.
Though, sure, if you call the Sierra Club "environmentalist", then environmentalism is politically polarized today. I don't call them environmentalists anymore; I call them a zombie organization that has been parasitized by an entirely different political organization. I've been a member for decades, and they completely stopped caring about the environment during the Trump presidency. As in, I did not get one single letter from them in those years that was aimed at helping the environment. Lots on global warming, but none of that was backed up by science. (I'm not saying global warming isn't real; I'm saying the issues the Sierra Club was raising had no science behind them, like "global warming is killing off the redwoods".)
I get that this is the first post out of 4, and I'm skimming the report to see if you address this, but it sounds like you're using historical data to try to prove a counterfactual claim. What alternative do you think was possible? (I assume the presence of realistic alternatives is what you mean by 'not inevitable', but maybe you mean something else.)
I think it was possible for the environmental movement to form alliances with politicians in both parties, and for environmentalism to have remained bipartisan.
Comparing different countries and comparing the same country at different times is not the same thing as a counterfactual, but it can be very helpful for understanding counterfactuals. In this case, the counterfactual US is taken to be similar to the US in the 1980s or to the UK, France, or South Korea today.
I think this is true of an environmentalist movement that wants there to be a healthy environment for humans; I'm not sure this is true of an environmentalist movement whose main goal is to dismantle capitalism. I don't have a great sense of how this has changed over time (maybe the motivations for environmentalism are basically constant, and so it can't explain the changes), but this feels like an important element of managing to maintain alliances with politicians in both parties.
(Thinking about the specifics, I think the world where Al Gore became a Republican (he was a moderate for much of his career) or simply wasn't Clinton's running mate (which he did in part because of HW Bush's climate policies) maybe leads to less partisanship. I think that requires asking why those things happened, and whether there was any reasonable way for them to go the other way. The oil-republican link seems quite strong during the relevant timeframe, and you either need to have a strong oil-democrat link or somehow have a stronger climate-republican link, both of which seem hard.)
I think this is true of an environmentalist movement that wants there to be a healthy environment for humans; I'm not sure this is true of an environmentalist movement whose main goal is to dismantle capitalism.
I talk about mission creep in the report, section 6.6.
Part of 'making alliances with Democrats' involved environmental organizations adopting leftist positions on other issues.
Different environmental organizations have seen more or less mission creep. The examples I give in the report are the women's issues for the World Wildlife Fund:
In many parts of the developing world, women of all ages play a critical role in managing natural resources, which they rely on for food, water, medicine, and fuel wood for their families. Yet they often are excluded from participating in decisions about resource use.[1]
and the Sierra Club:
The Sierra Club is a pro-choice organization that endorses comprehensive, voluntary reproductive health care for all. Sexual and reproductive health and rights are inalienable human rights that should be guaranteed for all people with no ulterior motive. A human rights-based approach to climate justice centers a person’s bodily autonomy and individual choice.[2]
It's hard to date exactly when many of this positions were adopted by major environmental organizations, but my impression is sometime in the 1990s or 2000s. That's when the Sierra Club started making presidential endorsements and when several major environmental organizations started promoting environmental justice.
This mission creep is part of the story. Allowing mission creep into controversial positions that are not directly related to the movement’s core goals makes it harder to build bipartisan coalitions.
“Women and girls,” World Wildlife Fund, Accessed: March 28, 2024. https://www.worldwildlife.
org/initiatives/women-and-girls.
The Sierra Club and population issues,” Sierra Club, Accessed: March 28, 2024. https://www.sier
raclub.org/sierra-club-and-population-issues.
The title for this page is not explicitly about gender, but to get to this page from the “People & Justice” page, you click on “Read more” in the section: “And our future depends on gender equity.”
Similarly for the Sierra Club, I think their transition from an anti-immigration org to a pro-immigration org seems like an interesting political turning point that could have failed to happen in another timeline.
I think this is true of an environmentalist movement that wants there to be a healthy environment for humans; I'm not sure this is true of an environmentalist movement whose main goal is to dismantle capitalism.
FWIW, the environmentalist movement that I'm most familiar with from Finland (which is somewhat partisan but much less so than the US one) is neither of these. There's some element of "wants there to be a healthy environment for humans" but mostly it's "wants to preserve the environment for its own sake".
E.g. ecosystems being devastated is clearly depicted as being intrinsically bad, regardless of its effect on humans. When "this is how humans would be affected" arguments are brought in, they feel like they're being used as a motte.
EDIT: I guess climate change stuff is much more human-focused; it being so big is a more recent development, so I didn't happen to think of it when considering my prototypical sense of "environmentalism". (It also feels like a more general concern, with "environmentalism" connoting a more narrowly-held concern to me.)
From the outside, Finnish environmentalism seems unusually good--my first check for this is whether or not environmentalist groups are pro-nuclear, since (until recently) it was a good check for numeracy.
Note that the 'conservation' sorts of environmentalism are less partisan in the US, or at least, are becoming partisan later. (Here's an article in 2016 about a recent change of a handful of Republicans opposed to national parks, in the face of bipartisan popular support for them.) I think the thing where climate change is a global problem instead of a local problem, and a conflict between academia and the oil industry, make it particularly prone to partisanship in the US. [Norway also has significant oil revenues--how partisan is their environmentalism, and do they have a similar detachment between conservation and climate change concerns?]
Bill Frist, the former Republican Senate Majority Leader under Bush (even though he had a low score by the partisan/zero compromises LCV), is now chairman at the Nature Conservancy (it's even his LinkedIn profile header) and frequently speaks out on environment and climate change issues. His kind of Republicanism is now way out of vogue.
https://www.tennessean.com/story/news/2022/08/16/tenneessee-former-senator-bill-frist-elected-chair-nonprofit-nature-conservancy/10328455002/
https://www.linkedin.com/posts/billfristmd_nature-conservation-activity-7114961629628227585-C5BY?utm_source=share&utm_medium=member_android
Republicans from Utah seem to disproportionately form the Republican climate change caucus - they tend to be somewhat more open-minded than Republicans elsewhere, and some of the current representatives have been outspoken on the need to combine conservation with conservatism (though this also means making some compromises with federal land ownership which has become an unusually partisan "don't compromise" issue).
Honestly, I can understand the republican side because I lost trust on the global warming issue from a political standpoint.
And we should very much differentiate the scientific side to the political side. They are not the same.
Is climate change real? That's a scientific question. The answer seems to be yes.
Will carbon tax fix climate change? That's a political question. The answer may be no.
But it appears that the democrats think the second question is a scientific question as well - so they do not allow any discussion around it without calling the other side "climate change denier".
What's even worse, is that we are talking about a MASSIVE amount of money, both in taxes and then in subsidies. There will be corruption. There already is corruption. The republicans who try to challenge some of the money spending, and its management, are being called anti-science bigots. That leads to no-where.
Now take all of that, add to it the fact that, for example, Greta became the poster child of climate change, and has since made sure everyone knows she's a communist - of course this will be political. Who the hell thought that giving a stupid little girl so much power and influence will do the cause any favors?
My initial reaction, admittedly light on evidence, is that the numbers you present are at least partially due to selection bias. You've picked a set of issues, like climate change, that are not representative of the entire scope of "environmentalism." It shouldn't surprise anybody that "worry about global warming" is a blue issue, but the much more conservative-y "land use," "protection of fish and wildlife" and "conservation," issues for whatever reason are often not measured. In short, it feels a little to me that your actual argument is that liberal-coded environmental issues are partisan.
More than half of state wildlife conservation funding comes from hunting licenses and firearms taxes. I assure you, these fees mostly come from republicans in republican states. Here is some polling done in the west on environmental issues. It shouldn't be a surprise that republican voters in Wyoming and rural Colorado care a lot about the environment, but one shouldn't expect them to think about the issues in the same way as latte drinking knowledge workers in coastal cities.
It also might interest some to read how Nixon talked about the environment. This message to congress about founding the EPA in 1972 has some interesting passage, including the following:
PROTECTING OUR NATURAL HERITAGE
Wild places and wild things constitute a treasure to be cherished and protected for all time. The pleasure and refreshment which they give man confirm their value to society. More importantly perhaps, the wonder, beauty, and elemental force in which the least of them share suggest a higher right to exist--not granted them by man and not his to take away. In environmental policy as anywhere else we cannot deal in absolutes. Yet we can at least give considerations like these more relative weight in the seventies, and become a more civilized people in a healthier land because of it.
I've paid attention to politics for a long time, but I've never heard a democrat talk like this about the environment. Just this one paragraph contains three progressive blasphemies, nearly one per sentence:
A lot of the emphasis is on climate change, which has become partisan than other environmental issues. But other environmental issues have become partisan as well. Here's some data from a paper from 2013 by D.L. Guber, "A cooling climate for change? Party polarization and the politics of global warming."
The poll you linked indicates that Republicans in the Mountain West are more concerned with the environmental than Republicans in the rest of the country. There is a 27 p.p. partisan gap on the energy vs environment question (p. 17) - much less than the 55 p.p. partisan gap for the country as a whole. The partisan gap for whether "a public official's position on conservation issues will be an important factor in determining their support" is 22 p.p. (p. 13), with clear majorities in both parties. Climate change is somewhat less of a concern than other issues, which I would guess is because it is more partisan, but not by that much (p. 21).
In the Mountain West, it looks like there is some partisanship for environmental issues, but only the amount we would expect for a generic issue in the US, or for environmentalism in another country. This is consistent with environmentalism being extremely partisan on average over the entire country. The Mountain West is less than a tenth of the country's population and has an unusually impressive natural environment.
Environmentalism started to became partisan around 1990. Nixon & Reagan both spoke of the environment in these terms.
Actually, my read of the data is that the mountain west is not more environmentally conscious than the rest of the US.
The mountain west poll does not include national numbers, so I have no idea where your national comparisons are coming from. If I did, I'd check for same year/same question, but because I don't know where they're from I can't.
Take a look at this cool visualization of different state partisan splits from 2018: https://climatecommunication.yale.edu/visualizations-data/partisan-maps-2018/
The mountain west appears neither significantly more nor significantly less partisan on any of the climate change related questions than the rest of the US.
My main point, which I don't think you've contradicted (even if I accept that the mountain west is unique), is that you're making an argument about "environmentalism" partisanship by using primarily "climate change" polling data. The charts from the 2013 paper you've posted sort of confirm this take–climate change is obviously a uniquely partisan issue.
The intro to your sequence states the following:
The partisanship we see today is unusual, compared to other issues, other countries, or even the US in the 1980s.
Basically, I have not seen evidence that this is true for issues beyond climate change (or other countries!), and I think your sequence would benefit by explicitly comparing
Several things are at work.
Global warming is highly partisan, and the proposed solutions to it are extremely polarizing. Al Gore's An Inconvenient Truth is probably single-handedly responsible for shifting the GOP to deny it exists. The taint spread to other issues. A whiff of any environmentalism raises hackles that would not have been raised otherwise.
Environmentalists have used environmental laws that were initially bipartisan to throw wrenches into development favored by GOP.
Partisan sorting. Republicans who were concerned about the environment in 1990 are dead, changed positions, or are no longer Republicans, just like anti-abortion Democrats from 1990 are dead, changed positions, or are no longer Democrats.
Here's a decade-old gem from Scott Alexander, "If Climate Change Happened To Have Been Politicized In The Opposite Direction"
I'm surprised that Scott Alexander's blog post didn't go for what I think is a more obvious connection between conservatism and conservationism: religious fundamentalism.
The way man acts these days... [shakes head, downcast] forswears a God-given charge to protect this God-given Earth. The way he chokes the air with smokestacks, plunders the oceans of her fishes, and paves the green hills flat with concrete—it sickens me. Gets me [thumps chest with mic] right through the heart. His vainglorious pride to try to change the natural order of things, the intricate tapestry of birds and deer, trees, antelopes, and groundhogs, from the mighty whale down to the humblest anthill—modern man thinks he knows better how to till the Earth. What does he till it with? Monoagriculture and pesticides! And what does he reap? Monoxides and pestilence! [Swell of the organ, roar of the audience]
I see a grave judgement coming! I see the cry of the Earth, rising up to the heavens, carried on winds of carbon dioxide, of nitrous oxide, the methanes and the synthetic fluorinated gases—all!—rise up to the heavens! And they cry out to the Lord, "My God, how long?" [long pause] And the Lord answers. "Not long. No, not long now." For there is a judgement coming. Indeed, the stench of our industrial civilization is both sin and the wages of sin. Silently sealing us off from the heavens, to bake in the stew of our own filth. As in the days of Noah, the waters will rise.
Oh Lord, save us from this mighty cataclysm! Make us turn in our hearts from the plastics and the petroleums of our idolatry to the wholesome fruits of your loving kingdom. Yes! We long to return to the fields and meadows of your abundance, Lord. Help us break our addiction to the spoils of modern life that poison your garden. Give us moral strength to abstain from consumer culture, from gas-guzzling SUVs, from industrial meat production, from coveting a bigger house, a bigger yard, fast fashion, and the latest i-Phone! Yes! Save us from the harlots of modern convenience, and return us, Lord, return us to the bosom... of your care.
Promoted to curated: I thought this sequence/report was a really valuable read and I have brought it up in a bunch of circumstances in which it came out.
Detailed and public historical case studies seem very undersupplied when thinking about the strategic considerations around AI alignment and AI safety (as well as the general study of memetics and social coordination).
The United States is more partisan overall than most other countries, but it is not an outlier. There are other countries with similar levels of overall partisanship,[5] but almost no partisanship in their support for environmentalism: France[6] and South Korea.[7] There is no correlation between overall partisanship and partisanship in environmentalism.[8]
Interestingly, both France and South Korea are notable for their atomic power plants. Knowing the direction of causation is seldom easy, but maybe anti-nuclear activism turned the issue partisan?
It's strange reading all of these comments discussing what actions by environmental groups led to partisanship, without anyone discussing the extensive lobbying and financial influence of the fossil fuel industry and other polluting industries. It's like trying to discuss the orbital motions of the planets based on the gravitational impact of their moons, but without acknowledging the existence of the Sun.
From the introduction to the last post in this sequence:
Environmentalists were not the only people making significant decisions here. Fossil fuel companies and conservative think tanks also had agency in the debate – and their choices were more blameworthy than the choices of environmentalists. Politicians choose who they do and do not want to ally with. My focus is on the environmental movement itself, because that is similar to what other activist groups are able to control.
The motivation for this report was to learn what the AI safety movement should do to keep from becoming partisan. 'Meta doesn't lobby the government' isn't an action the AI safety movement can take.
I think that this is a coincidence. Japan has low partisanship for environmentalism and has less nuclear power than most developed countries (along with low overall partisanship). The association would be between three things: (1) low partisanship for environmentalism, (2) high overall partisanship, and (3) lots of nuclear power plants. There aren't enough countries to do this kind of correlation.
I’m surprised that anyone here cares about environmentalism. Aren’t any of the far reaching effects of what we do today with the environment insignificant compared to the development of ai? Friendly ai will be able to solve any of the pollution issues we’re creating today. Unless you think we’re going to successfully pause ai for hundreds of years then I just don’t see the point in making life worse for present humans for some speculative benefit to the future population.
Frankly it feels as if people are not even trying to sell environmentalism to republicans. There are so many low hanging fruits here:
This is trying to make environmentalism become partisan, but in the other direction.
Environmentalists could just not have positions on most controversial issues, and instead focus more narrowly on the environment.
It's making environmentalism bi-partisan.
It's too late to make environmentalism never have been partisan in the first place. And you can't just persuade current people in the environmentalist movement to stop caring about all the other issues, except environment. Neither it will work, nor I think it will be net positive thing to do.
But there is still an opportunity to have its own branch of environmentalism for republicans.
This is the first in a sequence of four posts taken from my recent report: Why Did Environmentalism Become Partisan?
Introduction
In the United States, environmentalism is extremely partisan.
It might feel like this was inevitable. Caring about the environment, and supporting government action to protect the environment, might seem like they are inherently left-leaning. Partisanship has increased for many issues, so it might not be surprising that environmentalism became partisan too.
Looking at the public opinion polls more closely makes it more surprising. Environmentalism in the United States is unusually partisan, compared to other issues, compared to other countries, and compared to the United States itself at other times.
The partisanship of environmentalism was not inevitable.
Compared to Other Issues
Environmentalism is one of the, if not the, most partisan issues in the US.
The most recent data demonstrating this comes from a Gallup poll from 2023.[1] Of the 24 issues surveyed, “Protecting the Environment Has Priority Over Energy Development” was tied for the largest partisan gap with “Government Should Ensure That Everyone Has Healthcare.” Of the top 5 most partisan issues, 3 were related to environmentalism. The amount this gap has widened since 2003 is also above average for these environmental issues.
Figure 1: The percentages of Republicans and Democrats who agree with each statement shown, 2003-2023. Reprinted from Gallup (2023).
Pew also has some recent relevant data.[2] They ask whether 21 particular policies “should be a top priority for the president and Congress to address this year.” The largest partisan gap is for “protecting the environment” (47 p.p.), followed by “dealing with global climate change” (46 p.p.). These are ten percentage points higher than the next most partisan priority. These issues are less specific than the ones Gallup asked about, and so might not reveal as much of the underlying partisanship. For example, most Democrats and most Republicans agree that strengthening the economy is important, but they might disagree about how this should be done.
Figure 2: The percentages of Republicans and Democrats who believe that each issue should be a top priority. Reprinted from Pew (2023).
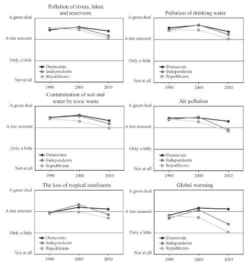
Guber’s analysis of Gallup polls from 1990, 2000, & 2010 also shows that environmentalism is unusually partisan.[3] Concern about “the quality of the environment” has a similar partisan gap as concern about “illegal immigration,” and larger than concern about any other political issue. If we hone in on concern about “global warming” within overall environmental concern, the partisan gap doubles, making it a clear outlier.
Figure 3: Difference between the mean response on a four point scale for party identifiers on concern for various national problems in 2010. “I'm going to read you a list of problems facing the country. For each one, please tell me if you personally worry about this problem a great deal, a fair amount, only a little, or not at all.” Reprinted from Guber (2013).
The partisanship of environmentalism cannot be explained entirely by the processes that made other issues partisan. It is more partisan than those other issues. At least this extra partisan gap wants an explanation.
Compared to Other Countries
The United States is more partisan than any other country on environmentalism, by a wide margin.
The best data comes from a Pew survey of “17 advanced economies” in 2021.[4] It found that 7 of them had no significant partisan gap, and that the US had a partisan gap that was almost twice as large as any other country.
Figure 4: Percentages of people with different ideologies who would be willing to make a lot of or some changes to how they live and work to help reduce the effects of global climate change, in 17 different countries. Only statistically significant differences are shown. Reprinted from Pew (2021).
This is evidence that environmentalism is more likely to be left-leaning. The explanation for this might involve something intrinsic to environmentalism itself, or it might involve interactions between countries and shared media environments. But it clearly is possible for environmentalism to remain bipartisan, which has happened in the UK, France, Spain, Japan, South Korea, Taiwan, and Singapore.
The United States is more partisan overall than most other countries, but it is not an outlier. There are other countries with similar levels of overall partisanship,[5] but almost no partisanship in their support for environmentalism: France[6] and South Korea.[7] There is no correlation between overall partisanship and partisanship in environmentalism.[8]
Compared to Other Times
Environmentalism was a bipartisan issue in the United States as recently as the 1980s.
The longest data series for U.S. public opinion on environmentalism comes from the General Social Survey, which has been administered to thousands of Americans for most years between 1974 and 2012.[9]
Figure 5: Percentages of Democrats and Republicans reporting that national spending on the environment is “Too Little,” 1974-2012. Reprinted from McCright et al. (2014).
During the mid-to-late 1970s, support for environmentalism was declining in both parties. Democrats were consistently about 10 percentage points (p.p.) more likely than Republicans to say that there was too little environmental spending.
During the 1980s, support for environmentalism surged. This increase was even larger among Republicans than among Democrats, with the partisan gap closing by the end of the decade.
In the 1990s and 2000s, Democrats’ support for environmentalism remained roughly constant, while Republicans’ support fell dramatically. A large partisan gap opened. The overall support for environmentalism declined, although this might be because support for overall government spending also fell in the early 1990s.[10]
Gallup polling on similar questions only goes back to 1997.[11] It shows an initially modest partisan gap of 15 p.p. in 1997, which grew to an over 50 p.p. gap in 2021.
Figure 6: Percentages of Republicans, Independents, and Democrats who believe that global warming will pose a serious threat to themselves or their way of life, 1997-2021. Reprinted from Gallup (2021).
This change is especially striking because the Republican Party did not change its positions on most issues between the 1980s and 2000s. Underlying principles like small government economics and social conservatism were common to the Republican Party of both decades. The anti-environmentalism of the Republican Party began in the 1990s, clearly after the ‘Reagan Revolution.’
Conclusion
The development of a large partisan gap about environmentalism in the United States was not inevitable. The United States has a smaller partisan gap for most other issues, other countries have less partisanship on this issue (even if the country is very partisan overall), and environmentalism was a bipartisan issue as recently as the 1980s.
This suggests that the explanation for the partisanship does not lie in broad structural or ideological factors that are consistent across many countries and times. Instead, the explanation is likely to be contingent, centered on the choices of individual decision makers.
Frank Newport. Update: Partisan Gaps Expand Most of Government Power, Climate. Gallup. (2023) https://news.gallup.com/poll/509129/update-partisan-gaps-expand-government-power-climate.aspx.
See also:
Frank Newport & Andrew Dugan. Partisan Differences Growing on a Number of Issues. Gallup (2017) https://news.gallup.com/opinion/polling-matters/215210/partisan-differences-growing-number-issues.aspx.
Economy Remains the Public’s Top Policy Priority; COVID-19 Concerns Decline Again. Pew Research. (2023) https://www.pewresearch.org/politics/2023/02/06/economy-remains-the-publics-top-policy-priority-covid-19-concerns-decline-again/.
Deborah Lynn Guber. A Cooling Climate for Change? Party Polarization and the Politics of Global Warming. American Behavioral Scientist 57.1. (2013) p. 93 –115. https://cssn.org/wp-content/uploads/2020/12/A-Cooling-Climate-for-Change-Party-Polarization-and-the-Politics-of-Global-Warming-Deborah-Guber.pdf.
James Bell, Jacob Poushter, Moira Fagan & Christine Huang. In Response to Climate Change, Citizens in Advanced Economies Are Willing To Alter How They Live and Work. Pew Research. (2021) https://www.pewresearch.org/global/2021/09/14/in-response-to-climate-change-citizens-in-advanced-economies-are-willing-to-alter-how-they-live-and-work/.
Laura Silver. Most across 19 countries see strong partisan conflict in their society. Pew Research. (2022) https://www.pewresearch.org/short-reads/2022/11/16/most-across-19-countries-see-strong-partisan-conflicts-in-their-society-especially-in-south-korea-and-the-u-s/.
Macron & Le Pen seem to have fairly similar climate policies. Both want France's electricity to be mostly nuclear – Le Pen more so. Both are not going to raise fuel taxes – Macron reluctantly. Le Pen talks more about hydrogen and reshoring manufacturing from countries which emit more. Macron supports renewables in addition to nuclear power. The various leftists (socialists, greens, and communists run separately in recent elections) seem to be interested in phasing out nuclear & replacing it with renewables. None of the parties dismiss climate change as an issue and all are committed to following international climate agreements.
Kate Aronoff. Marine Le Pen’s Climate Policy Leans Ecofascist. The New Republic. (2022) https://newrepublic.com/article/166097/marine-le-pens-climate-policy-whiff-ecofascism.
Heesu Lee. Climate Is the New ‘Must-Have’ in South Korean Election Gameplan. Bloomberg. (2024) https://www.bloomberg.com/news/articles/2024-04-04/climate-is-the-new-must-have-in-south-korean-election-gameplan.
There are 14 countries in both the Pew survey on environmentalism and the Pew survey on overall partisanship. There is no correlation between the fraction of people who say that there are strong or very strong conflicts between people who support different parties in their country vs. the left-right difference between people who say that they are willing to make a lot of or some changes to how they live and work to help reduce the effects of global climate change. https://docs.google.com/spreadsheets/d/1h14JsezOloAUqy78MBo_JPpwiAjUcwQ-z8V5wuihUk8/edit?usp=sharing.
Aaron M. McCright, Chenyang Xiao, & Riley E. Dunlap. Political polarization on support for government spending on environmental protection in the USA, 1974-2012. Social Science Research 48. (2014) p. 251-260. https://www.sciencedirect.com/science/article/abs/pii/S0049089X1400132X.
Little Public Support for Reductions in Federal Spending. Pew Research. (2019) https://www.pewresearch.org/politics/2019/04/11/little-public-support-for-reductions-in-federal-spending/.
Lydia Saad. Global Warming Attitudes Frozen Since 2016. Gallup. (2021) https://news.gallup.com/poll/343025/global-warming-attitudes-frozen-2016.aspx.
Note that there are several similar questions, all which show a small or zero partisan gap when the data starts, which grows dramatically in time.